最近
阶段性集中降水、持续阴雨天气
给秋粮收获、晾晒、存储造成影响
眼下正值“三秋”生产关键期
为守住粮食丰收成果
天衢新区公布“三秋”生产服务联系电话
及周边粮食烘干服务点地址电话
详情如下
↓↓↓
天衢新区“三秋”生产服务联系电话
识别二维码查看


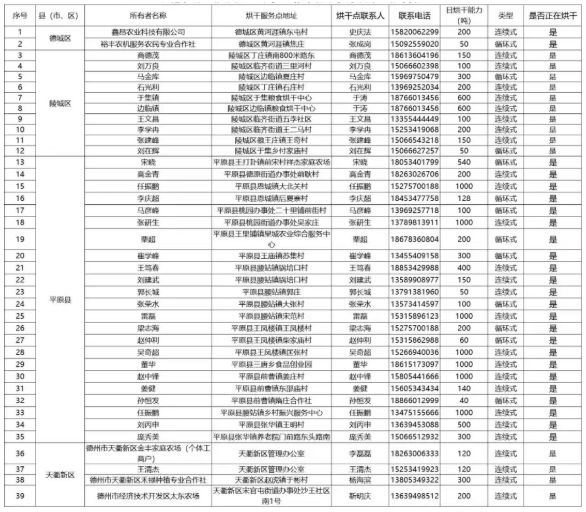
天衢新区及周边县市区粮食烘干服务点明细表
识别二维码查看


最近
阶段性集中降水、持续阴雨天气
给秋粮收获、晾晒、存储造成影响
眼下正值“三秋”生产关键期
为守住粮食丰收成果
天衢新区公布“三秋”生产服务联系电话
及周边粮食烘干服务点地址电话
详情如下
↓↓↓
天衢新区“三秋”生产服务联系电话
识别二维码查看


天衢新区及周边县市区粮食烘干服务点明细表
识别二维码查看

